Муниципальное бюджетное общеобразовательное учреждение «Чернопольская средняя школа» Белогорского района Республики Крым

ПРОГРАММА ПО ВЫЯВЛЕНИЮ ОДАРЁННЫХ ДЕТЕЙ НА 2022 - 2027

Программа_по_выялению_одаренных_детей.pdf

ВСЕРОССИЙСКАЯ ОЛИМПИАДА ШКОЛЬНИКОВ

Об олимпиаде

Всероссийская олимпиада школьников — крупнейшее интеллектуальное соревнование, в котором ежегодно принимают участие более 6 млн школьников. Олимпиада проводится в четыре этапа (школьный, муниципальный, региональный и заключительный) по 20 предметам. Участником школьного этапа может стать любой желающий учащийся 4−11 классов. Победители и призеры заключительного этапа имеют право поступления в вузы без вступительных испытаний.

В 2025 году школьный этап ВсОШ по математике, информатике, физике, химии, биологии и астрономии для школьников 4−11 классов проходил на платформе «Сириус. Курсы». Ознакомиться с информацией о проведении школьного этапа 2025 г. можно на сайте.

Тренажер для решения задач прошлых лет по 6 естественно-научным предметам, координируемых «Сириусом», также доступен по ссылке.

Вся актуальная информация о проведении школьного этапа 2025 г. будет опубликована на сайте. Следите за обновлениями!

НОРМАТИВНЫЕ ДОКУМЕНТЫ

Приказ_МИНОБРАЗОВАНИЯ_Крыма_о_проведени__ВсОШ_2025-2026.pdf
Приложение_к_приказу_МИНОБРАЗОВАНИЯ_КРЫМА.pdf
Приказ_УОМС_Белогорской_РГА_о_проведени_школьного_этапа_ВсОШ_2025-2026.pdf
Приложение_6_к_приказу_УОМС.pdf
ПРИКАЗ_259__Школьный координатор_СИРИУС_2025.pdf
ПРИКАЗ_287_О_проведении_ШКОЛЬНОГО_ЭТАПА_ВсОШ_2025.pdf
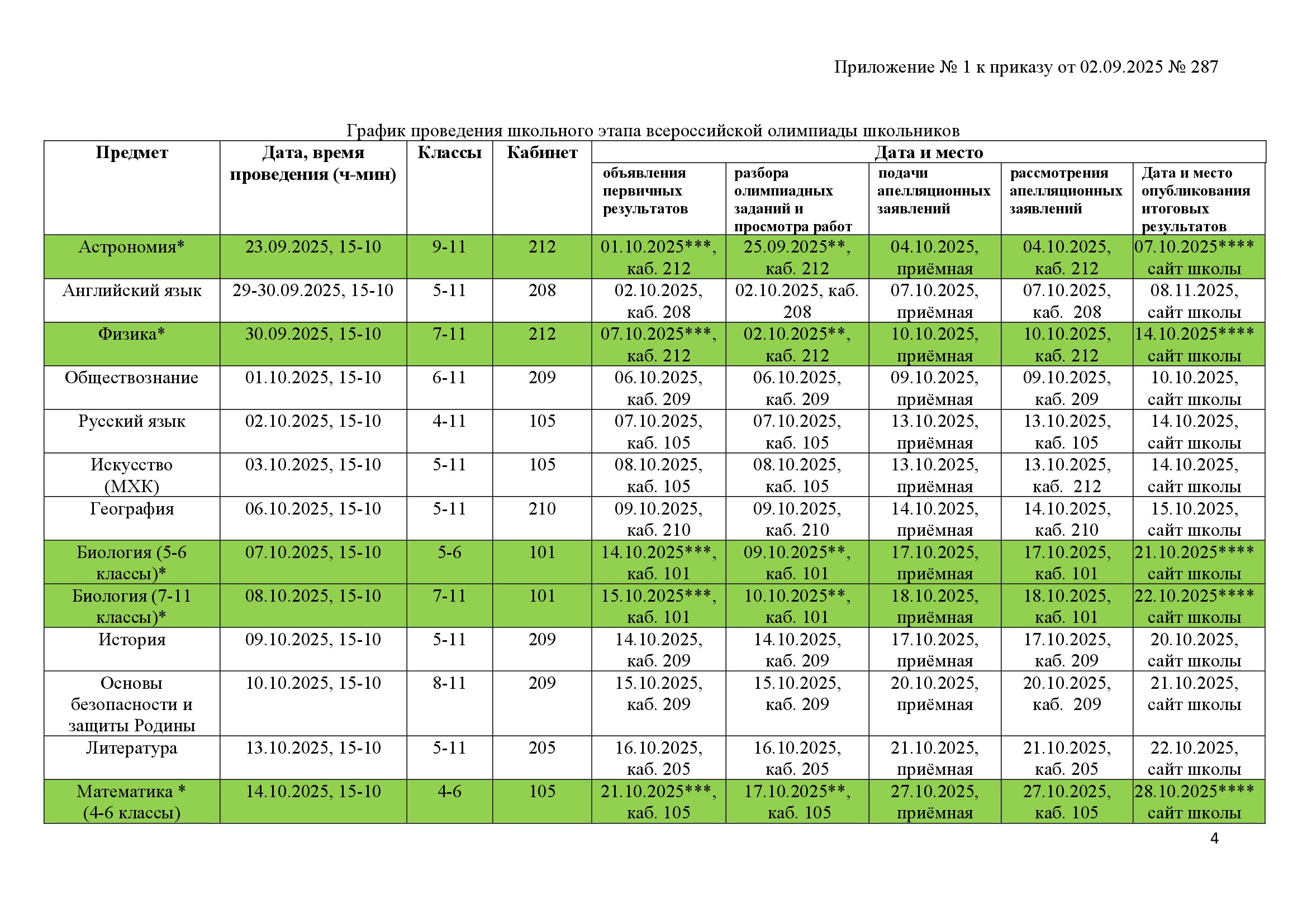
Прил._1_График_школьного_этапа_ВСОШ.pdf
Прил._2_Школьный_ОРГКОМИТЕТ_ВсОШ.pdf
Прил._3_Жюри_школьного_этапа_ВсОШ — копия.pdf
Прил._4_Апелляционные_комиссии_школьного_этапа_ВсОШ.pdf
Прил._5_Организаторы_школьного_этапа_ВсОШ — копия — копия.pdf
Аналитическая_справка_(ИТОГИ_школьного_и_муниципального_этапов_ВсОШ).pdf
Приказ_№_382_(ИТОГИ_школьного_и_муниципального_этапов_ВсОШ).pdf

ГРАФИК ПРОВЕДЕНИЯ ШКОЛЬНОГО ЭТАПА ОЛИМПИАДЫ

ОСОБЕННОСТИ ПРОВЕДЕНИЯ ОЛИМПИАДЫ НА ПЛАТФОРМЕ "СИРИУС.КУРСЫ"

Добавьте изображения в слайдер
ШЭ 2025_группа 1_цв_Плакаты А4.pdf

ИТОГИ ШКОЛЬНОГО ЭТАПА ОЛИМПИАДЫ

Предварительные результаты - файлы рейтинговых таблиц без ЭЦП

Окончательные результаты - файлы рейтинговых таблиц подписанные ЭЦП

АСТРОНОМИЯ_Прот.ВсОШ_25.pdf
ОБЩЕСТВОЗНАНИЕ_Прот.ВсОШ_25.pdf
АНГЛИЙСКИЙ_ЯЗЫК_Прот.ВсОШ_25.pdf
Русский_язык_Прот.ВсОШ_25.pdf
Искусство_(МХК)_Прот.ВсОШ_25.pdf
География_ПРОТОКОЛ_ВсОШ_202.pdf
История_ПРОТОКОЛ_ВсОШ_2025.pdf
БИОЛОГИЯ_ПРОТОКОЛ_ВсОШ_25.pdf
ХИМИЯ_ПРОТОКОЛ_ВсОШ_25.pdf
Физика_Прот.ВсОШ_25.pdf
ОБЗР_Прот.ВсОШ_25.pdf
Литература_ПРОТОКОЛ_ВсОШ_25.pdf
ТРУД_(технол.)_Прот.ВсОШ_25.pdf
ПРАВО_ПОТОКОЛ_ВсОШ_25.pdf
Экономика_ПРОТОКОЛ_ВсОШ_25.pdf
ФИЗКУЛЬТУРА_ПОТОКОЛ_ВсОШ_25.pdf
ЭКОЛОГИЯ_ПРОТОКОЛ_ВсОШ_25.pdf
Математика_ПРОТОКОЛ_ВсОШ_25.pdf
Информатика_ПРОТОКОЛ_ВсОШ_25.pdf

МБОУ «Чернопольская средняя школа» Белогорского района Республики Крым

Муниципальное бюджетное общеобразовательное учреждение «Чернопольская средняя школа» Белогорского района Республики Крым

Число посетителей за неделю: 28
Навигация
Контакты
  • Наш адрес
    Школьная улица, Чернополье, Чернопольское сельское поселение, Белогорский район, Республика Крым
  • Наш телефон
    993-40
  • Наши социальные сети
© ООО “OxDev”. Все права защищены.

    Наш сайт нуждается в файлах Cookie

    Этот сайт использует cookie-файлы и другие технологии для улучшения его работы. Продолжая работу с сайтом, Вы разрешаете использование cookie-файлов